| 索 引 号: | yishuiljqz2322108/2022-0000241 | 主题分类: | 其他 |
| 发文机关: | 沂水县龙家圈街道 | 公文类型: | |
| 成文日期: | 发布日期: | 2022-06-19 | |
| 标 题: | 龙家圈街道“青鸟计划 才聚沂水”2022年大学生暑期“返家乡”社会实践活动报名开始了 | ||
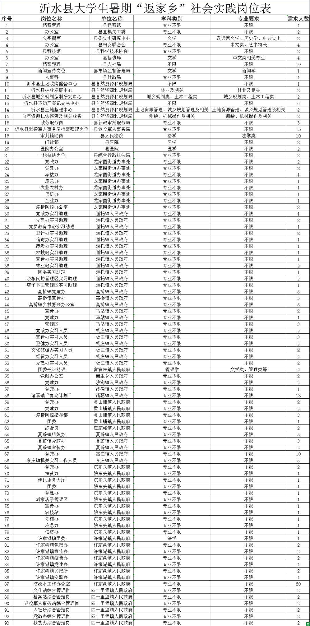
为进一步助力“双招双引”、服务大学生就业,推动引才和就业关口前移,加强与沂水籍省内外高校学子的联系对接,为优秀大学生搭建走进沂水、了解沂水、建设沂水的平台,县委组织部、团县委、县人社局联合开展“青鸟计划 才聚沂水”2022年大学生暑期“返家乡”社会实践活动。截至目前,已征集县直机关单位、乡镇(街道)93个岗位,可接收289名大学生参加本次社会实践活动。
招募对象
沂水籍在读大学生、研究生。岗位实践坚持就近就便原则。同时,应具备以下条件:
1.政治素质好,思想觉悟高,品学兼优,身体健康,作风扎实,具有奉献精神,无违法违纪不良记录,未受任何处分;
2.有较强的组织协调能力、集体观念、大局意识,善于沟通,富有团队精神;
3.学生党员、主要学生干部(班长、团支书、学生会部门负责人及以上职务)、社团骨干(社团副会长及以上职务)、校级以上奖学金获得者、各类竞赛获奖者、有社会实践(志愿服务)经历者优先;
4.身体健康,无发热、咳嗽等症状,过去14天内未到过疫情中高风险地区。
实习时间
2022年7月—8月;
如有特殊情况,实习时间学生可以和用人单位进行协商。原则上不能少于30天。
岗位信息








